Lompat ke konten Lompat ke sidebar Lompat ke footer

Gambar Makanan Ikan Dan Komposisinya

Breeder Pro Bp Cp Petfood

Figure 1 From Komposisi Makanan Ikan Sepat Siam Trichopodus

Makanan Kura Kuraku Mukti Mulyawan

Arsip Pakan Makanan Pelet Ikan Louhan Head Huncher Color Faster

Begini Cara Pemberian Pakan Ikan Gurami Yang Baik Artikel

Pengaruh Beberapa Level Ransum Berbahan Baku Tepung Koro Pedang Pada

Menghitung Kandungan Gizi Bahan Makanan Ppt Download

Jual Makanan Ikan Koi Sakura Koi Food 5 Mm Medium Berat 10 Kg Di

Pakan Terapung Versus Pakan Tenggelam Bebeja Com

Makanan Yang Baik Untuk Ikan Louhan Agar Merah Jenong Raja Petshop

Forum Pakan Ternak Berbagi Pakan Ilmu Pakn Tenak

Pengelolaan Balai Benih Ikan Ppt Download

Jual Pakan Ikan Ff 999 Di Lapak Al Mubarok Shop Lutfi5

Jual Pakan Ikan Takari 100gr Di Lapak Fikri S Ijodaun

10 Merk Makanan Ikan Hias Terbaik Dan Harga Terbaru Bahas Ikan

Cara Buat Pakan Ayam Petelur

Studi Kebiasaan Makanan Ikan Keperas Cyclocheilichthys

Komposisi Cara Membuat Pakan Ikan Lele Agar Cepat Besar Ulya Days

Cara Membuat Pakan Ikan Lele Agar Cepat Besar

Jenis Makanan Dan Cara Pemberian Pakan Ikan Koi Yang Bagus Ikankoi Org

Pakan Ikan Koi Berkualitas Mengandung Spirulina Tidak Membuat Air

Storm Games Ltd Dunia Ikan Hias Air Tawar

Jenis Makanan Dan Cara Pemberian Pakan Ikan Koi Yang Bagus Ikankoi Org

Pelet Sakura Fish Food 100 Gr Pet Food Stuff Hobi Koleksi

Jual Sera Vipan Makanan Ikan Terbaik Khusus Ikan Hias Airtawar

Komposisi Makanan Ikan Related Keywords Suggestions Komposisi

Lele 2010 Pakan Ikan Lele Pelet Tipe Ff 999 781

Crispy Ikan Sipetek Makanan Bergizi Barang Langka Di Pasaran Offline

Pakan Koi High Quality For Sumi 500gr Shopee Indonesia

Figure 1 From Komposisi Makanan Ikan Sepat Siam Trichopodus

Figure 1 From Komposisi Makanan Ikan Sepat Siam Trichopodus

Products Pt Matahari Sakti

Jual Pakan Ikan Mas Bukalapak Com Cek Harga Di Pricearea Com

Jual Makanan Ikan Koi Pakan Ikan Koi Pk 2 Mm Berat 10 Kg Kota

Pdf Komposisi Dan Luas Relung Makanan Ikan Belanak Chelon

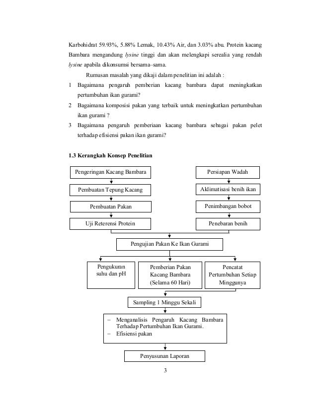
Proposal Skripsi

Tabel 1 Komposisi Ikan S

Tips Cara Memberi Makan Ikan Koi

Gambar 4 Komposisi Makanan Ikan Bilih Di Danau Toba Pada Tahun 2009

Probiotik Pakan Alternatif Ternak

Jual Makanan Ikan Koi Pakan Ikan Koi Pk 5 Mm Special Berat 10

I Makanan Ini Sudah Dikenal Oleh

Pembuatan Pakan Ikan Alter Nat If Dari Bahan Cacing Tanah

Jual Pakan Ikan Takari 100gr Di Lapak Fikri S Ijodaun

Kepiting Chef Epi Yang Tak Terlupakan Nutrisi Untuk Bangsa


Posting Komentar untuk "Gambar Makanan Ikan Dan Komposisinya"